Timeline of Plastic History
1865 - Alexander Parkes created first man made plastic by dissolving cellulose nitrate in alcohol and camphor containing ether. Resulting substance was transparent and easily molded when hot, but retained hardness while cold. He named this plastic compound called Parkesine.
1871 - John Wesley Hyatt working to discover as a substitute to ivory for billiard balls (possibly upon heard of $10,000 prices set by Phelan and Collender (later called Brunswick-Balke and Collender and now today simply called Brunswick), to anybody who could produce substitutes which retains the characteristic of ivory and cheaper to made. He discovered celluloid which are cellulose nitrate combined with camphor. The materials is easy to mold when under heat / high pressure and hardens when cooled.
.png.webp)
1898 - Leo Hendrik Baekeland invented Velox, a photographic printing paper that did not require natural light (instead, a gas light) for development. Baekeland made a fortune in when George Eastman Kodak paid $750,000 for the invention.

1907 - Leo Hendrik Baekeland discovers Bakelite which are made from phenol and formaldehyde which are the first fully-synthetic plastic.His discovery coming from finding a replacement for shellac, which at that time was made from the shells of Asian lac beetles.

1913 - Fritz Klatte discovers vinyl chloride through the addition of hydrochloric acid and acetylene. The vinyl chloride is basis for the production of poly vinyl chloride (PVC) and its polymerisation.

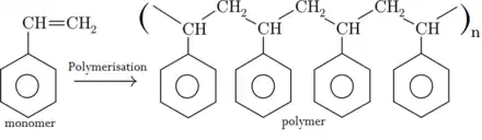
1922 - Hermann Staudinger coined the terms "macro molecules". His research shows that the synthetic plastics are constructed out of macromolecules in a process he called "polymerisation". This discovery is the foundation of modern polymer chemistry and foundation of plastics.
1935 - Wallace Carothers, a DuPont researches develops nylons (polymerr fibers) as a substitute for silks as the Japan (a main source of silks) is closing thir trade. The fibers is elastic when pulled out.

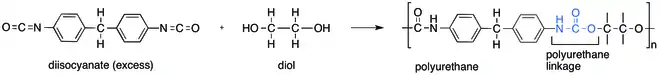
1937 - Otto Bayer discovers polyurethane from the diisocyanate polyaddition process

1938 - Roy Plunkett accidentally discovers PTFE while searching for refrigerant coolant substitute which are non-toxic and non-flammable. The white waxy materials have resistance to corrosion, low surface friction, and high heat resistance.

1948 - Fritz Stastny discovers polystyrene

1953 - Herrman Schnell discovers poly carbonate after synthesizes it from Bisphenol A and phosgene.
