Steglich esterification
Named after Wolfgang Steglich
Reaction type Coupling reaction
Identifiers
Organic Chemistry Portal steglich-esterification

The Steglich esterification is a variation of an esterification with dicyclohexylcarbodiimide as a coupling reagent and 4-dimethylaminopyridine as a catalyst. The reaction was first described by Wolfgang Steglich in 1978.[1] It is an adaptation of an older method for the formation of amides by means of DCC (dicyclohexylcarbodiimide) and 1-hydroxybenzotriazole (HOBT).[2][3]

Steglich overview
Steglich overview

This reaction generally takes place at room temperature. A suitable solvent is dichloromethane. Because the reaction is mild, esters can be obtained that are inaccessible through other methods for instance esters of the sensitive 2,4-dihydroxybenzoic acid. A characteristic is the formal uptake of water generated in the reaction by DCC, forming the urea compound dicyclohexylurea (DCU).

Reaction mechanism

The reaction mechanism is described as follows:

Mechanism Steglich reaction part 1

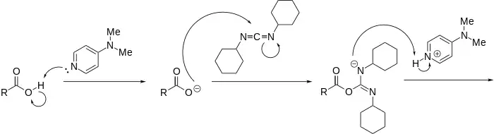
With amines, the reaction proceeds without problems to the corresponding amides because amines are more nucleophilic. If the esterification is slow, a side-reaction occurs, diminishing the final yield or complicating purification of the product. This side-reaction is a 1,3-rearrangement of the O-acyl intermediate to an N-acylurea which is unable to further react with the alcohol. DMAP suppresses this side reaction, acting as an acyl transfer-reagent in the following manner:

Action of DMAP in the Steglich esterification

References

  1. B. Neises, W. Steglich (1978). "Simple Method for the Esterification of Carboxylic Acids". Angew. Chem. Int. Ed. 17 (7): 522–524. doi:10.1002/anie.197805221.
  2. J. C. Sheehan, G. P. Hess (1955). "A New Method of Forming Peptide Bonds". J. Am. Chem. Soc. 77 (4): 1067–1068. doi:10.1021/ja01609a099.
  3. W. König, R. Geiger (1970). "Eine neue Methode zur Synthese von Peptiden: Aktivierung der Carboxylgruppe mit Dicyclohexylcarbodiimid unter Zusatz von 1-Hydroxy-benzotriazolen". Chem. Ber. 103 (3): 788–798. doi:10.1002/cber.19701030319. PMID 5436656.

Further reading

This article is issued from Wikipedia. The text is licensed under Creative Commons - Attribution - Sharealike. Additional terms may apply for the media files.