Torcetrapib
Names
Preferred IUPAC name
Ethyl (2R,4S)-4-({[3,5-bis(trifluoromethyl)phenyl]methyl}(methoxycarbonyl)amino)-2-ethyl-6-(trifluoromethyl)-3,4-dihydroquinoline-1(2H)-carboxylate
Identifiers
3D model (JSmol)
ChEBI
ChEMBL
ChemSpider
ECHA InfoCard 100.216.319
KEGG
UNII
  • InChI=1S/C26H25F9N2O4/c1-4-18-12-21(19-11-15(24(27,28)29)6-7-20(19)37(18)23(39)41-5-2)36(22(38)40-3)13-14-8-16(25(30,31)32)10-17(9-14)26(33,34)35/h6-11,18,21H,4-5,12-13H2,1-3H3/t18-,21+/m1/s1 checkY
    Key: CMSGWTNRGKRWGS-NQIIRXRSSA-N checkY
  • InChI=1/C26H25F9N2O4/c1-4-18-12-21(19-11-15(24(27,28)29)6-7-20(19)37(18)23(39)41-5-2)36(22(38)40-3)13-14-8-16(25(30,31)32)10-17(9-14)26(33,34)35/h6-11,18,21H,4-5,12-13H2,1-3H3/t18-,21+/m1/s1
    Key: CMSGWTNRGKRWGS-NQIIRXRSBY
  • FC(F)(F)c1cc(cc(c1)C(F)(F)F)CN(C(=O)OC)[C@@H]3c2c(ccc(c2)C(F)(F)F)N(C(=O)OCC)[C@@H](C3)CC
Properties
C26H25F9N2O4
Molar mass 600.473
Except where otherwise noted, data are given for materials in their standard state (at 25 °C [77 °F], 100 kPa).
☒N verify (what is checkY☒N ?)
Infobox references

Torcetrapib (CP-529,414, Pfizer) was a drug being developed to treat hypercholesterolemia (elevated cholesterol levels) and prevent cardiovascular disease. Its development was halted in 2006 when phase III studies showed excessive all-cause mortality in the treatment group receiving a combination of atorvastatin (Lipitor) and torcetrapib.

Medical uses

Torcetrapib has not been found to reduce either cardiovascular disease or risk of death in those already taking a statin drug.[1]

Mechanism

Torcetrapib acts (as a CETP inhibitor) by inhibiting cholesterylester transfer protein (CETP), which normally transfers cholesterol from HDL cholesterol to very low density or low density lipoproteins (VLDL or LDL). Inhibition of this process results in higher HDL cholesterol levels and reduces LDL cholesterol levels. According to Harvard Heart Letter: "HDL cholesterol is turning out to be a much more complex substance than we once believed. Instead of a single kind of particle, HDL cholesterol is a family of different particles. Although they all contain lipids (fats), cholesterol, and proteins called apolipoproteins, some types are spherical while others are doughnut-shaped. Some types of HDL are great at plucking cholesterol from LDL and artery walls while other types are indifferent to cholesterol, and some even transfer cholesterol the wrong way — into LDL and cells"[2]

Development

The first step in the synthesis was a recently created reaction of amination to p-chlorotrifluoryltoluene, a reaction that was created by Dr. Stephen Buchwald at MIT.[3]

Development of the drug began around 1990; it was first administered in humans in 1999, and manufacturing at production scale began in Ireland in 2005.[4]

Pfizer had previously announced that torcetrapib would be sold in combination with Pfizer's statin, atorvastatin (Lipitor); however, following media and physician criticism, Pfizer had subsequently planned for torcetrapib to be sold independently of Lipitor.[5]

Clinical trials

A 2004 trial (19 subjects, non-randomised) showed that torcetrapib could increase HDL and lower LDL with and without an added statin.[6]

Nine phase III studies were completed.[7][8][9][10][11][12][13][14][15][16]

Early termination of study

On December 2, 2006, Pfizer cut off torcetrapib's phase III trial because of "an imbalance of mortality and cardiovascular events" associated with its use.[17] This was a sudden and unexpected event and as late as November 30, 2006 Jeff Kindler, Pfizer's chief executive, was quoted, "This will be one of the most important compounds of our generation."[17] In the terminated trial, a 60% increase in deaths was observed among patients taking torcetrapib and atorvastatin versus taking atorvastatin alone.[18] Pfizer recommended that all patients stop taking the drug immediately.[19]

Six studies were terminated early.[7] One of the completed studies found it raised systolic blood pressure and concluded "Torcetrapib showed no clinical benefit in this or other studies, and will not be developed further."[20]

The drug cost $800m+ to bring into Phase III development.[21]

Synthesis

Dietary cholesterol needs be esterified in order to be absorbed from the gut. The enzyme, cholesterylester transfer protein (CETP), then completes the absorption of cholesterol. Drugs that interfere with the action of these peptides would aid in lowering cholesterol levels by complementing the action of the statins that inhibit the endogenous production of cholesterol. The CETP inhibitor torcetrapib (8) proved very effective in lowering cholesterol levels in humans; the drug not only lowered low-density lipoproteins (LDL and VLDL) but also raised levels of high density lipoproteins (HDL). This agent, which had only a brief time on the market due to adverse safety reports, is included here to illustrate an unusual method for preparing tetrahydroquinolines.

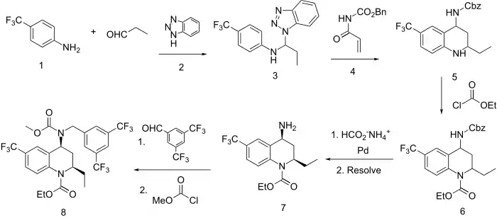
Torcetrapib synthesis: U.S. Patent 6,313,142 Also see:[22][23]

Reaction of the trifluoromethylaniline (1) with propanal in the presence of benzotriazole (2) affords the aminal (3). Condensation of (3) with the vinyl carbamate (4) yields the tetrahydroquinoline ring (5) with expulsion of the benzotriazole fragment. The ring nitrogen is then protected as its ethyl carbamate by acylation with ethyl chloroformate (6). The benzyl carbamate function on nitrogen at the 4 position is next removed by reduction with ammonium formate over palladium to afford the primary amine; this compound is then resolved as its dibenzyl tartrate salt to afford the 2R,4S isomer (7). Reductive amination with the bis-trifuoromethyl benzaldehyde in the presence of sodium triacetoxyborohydride followed by acylation with methyl chloroformate completes the synthesis of torcetrapib (8).

See also

References

  • Clark, RW; Sutfin TA; Ruggeri RB; Willauer AT; Sugarman ED; Magnus-Aryitey G; Cosgrove PG; Sand TM; Wester RT; Williams JA; Perlman ME; Bamberger MJ (January 22, 2004). "Raising high-density lipoprotein in humans through inhibition of cholesteryl ester transfer protein: an initial multidose study of torcetrapib". Arteriosclerosis, Thrombosis, and Vascular Biology. 24 (3): 490–497. doi:10.1161/01.ATV.0000118278.21719.17. PMID 14739125.

Notes

  1. Keene, D; Price, C; Shun-Shin, MJ; Francis, DP (Jul 18, 2014). "Effect on cardiovascular risk of high density lipoprotein targeted drug treatments niacin, fibrates, and CETP inhibitors: meta-analysis of randomised controlled trials including 117,411 patients". BMJ (Clinical Research Ed.). 349: g4379. doi:10.1136/bmj.g4379. PMC 4103514. PMID 25038074.
  2. Harvard Health Publishing (March 2010). "HDL: The good, but complex, cholesterol".
  3. Buchwald, Stephen (July 23, 2004). "Research Projects". Archived from the original on 2007-10-25. Retrieved 2007-10-04.
  4. "Pfizer Begins Production at Torcetrapib/Atorvastatin Manufacturing Facility" (Press release). Pfizer. June 22, 2005. Archived from the original on 2006-12-05. Retrieved 2006-12-03.
  5. Berenson, Alex (July 26, 2006). "Heart Pill to Be Sold by Itself". Business. The New York Times. Retrieved 2006-12-03.
  6. Brousseau, ME; Schaefer EJ; Wolfe ML; Bloedon LT; Digenio AG; Clark RW; Mancuso JP; Rader DJ (April 8, 2004). "Effects of an inhibitor of cholesteryl ester transfer protein on HDL cholesterol". New England Journal of Medicine. 350 (15): 1505–1515. doi:10.1056/NEJMoa031766. PMID 15071125.
  7. 1 2 "Search results for torcetrapib". ClinicalTrials.gov. U.S. National Library of Medicine.
  8. "Phase III Assess HDL-C Increase And Non-HDL Lowering Effect Of Torcetrapib/Atorvastatin Vs. Fenofibrate". ClinicalTrials.gov. U.S. National Library of Medicine. 30 October 2007.
  9. "Phase III Study To Evaluate The Effect Of Torcetrapib/Atorvastatin In Patients With Genetic High Cholesterol Disorder". ClinicalTrials.gov. U.S. National Library of Medicine. 5 November 2007.
  10. "Phase III Study To Evaluate The Safety And Efficacy Of Torcetrapib/Atorvastatin In Subjects With Familial Hypercholerolemia". ClinicalTrials.gov. U.S. National Library of Medicine. 28 October 2007.
  11. "Phase III Study Comparing The Efficacy & Safety Of Torcetrapib/Atorvastatin And Atorvastatin In Subjects With High Triglycerides". ClinicalTrials.gov. U.S. National Library of Medicine. 15 November 2007.
  12. "Phase III Clinical Trial Comparing Torcetrapib/Atorvastatin To Simvastatin In Subjects With High Cholesterol". ClinicalTrials.gov. U.S. National Library of Medicine. 20 November 2007.
  13. "Phase III Study of Torcetrapib/Atorvastatin vs Atorvastatin Alone or Placebo in Patients With High Cholesterol". ClinicalTrials.gov. U.S. National Library of Medicine. 15 February 2012.
  14. "Phase III Coronary IVUS Study to Compare Torcetrapib/Atorvastatin to Atorvastatin Alone in Subjects With Coronary Heart Disease (ILLUSTRATE)". ClinicalTrials.gov. U.S. National Library of Medicine. 6 December 2007.
  15. "Phase III Lipitor Trial To Study The Effect Of Torcetrpib/Atorvastatin To Atorvastatin Alone". ClinicalTrials.gov. U.S. National Library of Medicine. 15 November 2007.
  16. "Phase III Carotid B-Mode Ultrasound Study to Compare Anti-Atherosclerotic Effect of Torcetrapib/Atorvastatin to Atorvastatin Alone. (RADIANCE 1)". ClinicalTrials.gov. U.S. National Library of Medicine. 21 April 2015.
  17. 1 2 Berenson, Alex (December 3, 2006). "Pfizer Ends Studies on Drug for Heart Disease". The New York Times. Retrieved 2006-12-03.
  18. Theresa Agovino (December 3, 2006). "Pfizer ends cholesterol drug development". Associated Press. Retrieved 2006-12-03 via Yahoo! News. Each study arm (torcetrapib + atorvastatin vs. atorvastatin alone) had 7500 patients enrolled; 51 deaths were observed in the atorvastatin alone arm, while 82 deaths occurred in the torcetrapib + atorvastatin arm. (Link dead as of 15 January 2007)
  19. "Pfizer cuts off cholesterol drug trials". Yahoo! News. Yahoo.com. Associated Press. December 2, 2006. Retrieved 2006-12-03. (Link dead as of 15 January 2007)
  20. Bots; Visseren, Frank L; Evans, Gregory W; et al. (July 2007). "Torcetrapib and carotid intima-media thickness in mixed dyslipidaemia (RADIANCE 2 study): a randomised, double-blind trial". The Lancet. 370 (9582): 153–160. doi:10.1016/S0140-6736(07)61088-5. PMID 17630038. S2CID 205949008.
  21. Cutler, D. M. (2007-03-29). "The Demise of the Blockbuster?". The New England Journal of Medicine. 356 (13): 1292–1293. doi:10.1056/NEJMp078020. ISSN 1533-4406. PMID 17392299.
  22. Damon, David B.; Dugger, Robert W.; Magnus-Aryitey, George; Ruggeri, Roger B.; Wester, Ronald T.; Tu, Meihua; Abramov, Yuriy (2006). "Synthesis of the CETP Inhibitor Torcetrapib: The Resolution Route and Origin of Stereoselectivity in the Iminium Ion Cyclization". Organic Process Research & Development. 10 (3): 464. doi:10.1021/op060014a.
  23. Guinó, Meritxell; Phua, Pim Huat; Caille, Jean-Claude; Hii, King Kuok (Mimi) (2007). "A Concise Asymmetric Synthesis of Torcetrapib". The Journal of Organic Chemistry. 72 (16): 6290–3. doi:10.1021/jo071031g. PMID 17625891.
This article is issued from Wikipedia. The text is licensed under Creative Commons - Attribution - Sharealike. Additional terms may apply for the media files.