Author: Stephen Kyalo Musango Makonge
Module 9 of the Teletraffic Textbook
What is the limited availability calculation?
Summary
This discussion explores the limited availability calculation in teletraffic engineering. The effects of limited availability on switching systems is introduced and the calculation to determine the two important parameters , the occupancy distribution and the blocking probability which are important metrics in determining the grade of service of a telecommunications system. Erlang lost call calculation does not take regard to a limited availability system , and alternative calculations or simulations must be sought in such a system, which is the basis of this discussion.
Limited Availability Calculation
What is limited availability and how can it be calculated?
In a switching system with input (ingress) points delivering teletraffic and output (egress) points exiting teletraffic, it is possible that the input can be connected to a free or idle outlet at any at the given time of service request. Such a system is referred to as a full availability system. A case arises when an inlet cannot be connected to an outlet because of busy outlets or unavailable internal path in the switch a system referred to as a limited availability system. Below in figure 1.0 is an illustration of a symbol of a switching system with m input and n outputs.

Effects of a limited availability system
A limited availability system leads to congestion. A system that has encountered congestion can handle incoming calls in two possible ways; blocking or waiting. In the former case a call will be completely blocked and such a system is referred to as a loss system or lost call systems, while in the former, the caller may wait for an available resource a scenario called a waiting or delay system [2] in a delay system the calls are placed in a queue. In a lost call system the offered traffic does equal the carried traffic, the shortfall being the lost calls. The carried traffic is therefore the offered traffic less the lost traffic [1]. Knowledge of the limited availability is important in defining the grade of service (GoS) of a telecommunications system.
Modern electronic switching systems have been designed to provide full availability service to call service requests. An incoming call requiring a group resource has been designed to have access to any circuit in that given group. The need to formulate the full availability metric was occasioned by electromechanical switched which offered only limited availability [4]. To illustrate this, let us assume a call can access only 25 circuits out of a total 76 circuits, the availability of the system is 25.
Exercise 1
1. A switching system has 86 circuits. The only one circuit out of half the total number of circuits is not available to a given call while the others are available. Determine the availability of the system.
Erlang lost call calculations.
The knowledge of the availability of a system is essential in determining the grade of service. Erlang lost call calculations are based on full availability systems [1]. The Erlang assumptions for lost call are stated below.
1. Traffic has a pure chance arrival.
2. System is at statistical equilibrium.
3. A full availability system is under consideration.
4. Complete blocking or loss of calls encountering congestion.
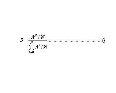
Therefore assumption 3 above implies that the system of limited availability cannot be determined by the traditional Erlang lost call calculations. Shown in figure 1.1 below is a generalized model of a limited availability system. The model is give for a system with a group of links with similar capacities this consideration applies to narrowband ISDN Pulse code modulation (PCM) links [3]. When the number of outlets N is less than the inlets M, i.e. (M>N), incoming calls will be engaged only until N=M and any further call will be blocked due to lack of resources. The challenge is to determine the probability that a call will be blocked because of a limited availability of circuits in a full availability group. This probability is called a blocking probability and can be calculated from Erlang B formula as:
Erlang –B formula is based on the following assumptions:
1.That call arrival is a random process. If the calling interval is α the probability that a call will begin in any one second is 1/ α.
2.The calls in progress have no effect on the calling rate. If the total users are M and there are N active callers at any one time, the calling rate is assumed as Mα.
3.That ending of any call in progress has an equal probability and is a random event.
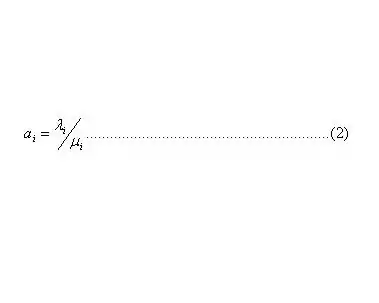
We can determine the inlet occupancy ai of the system as: ai= αh Erlang where h is the mean holding time (average duration of a call). The units of occupancy are given in Erlang. The occupancy of the outlets ao can be determined from the knowledge of the input occupancy as: ao = ai M/N Given N and ao it is possible to determine the blocking probability from lookup tables give for Erlang-B formula. Modern switches have multiple stages, and there is a need to calculate the overall blocking probability of a multi-stage switch. As the sum of blocking probabilities of individual stages as: B= B1+B2+B3+……….. by taking the outlet occupancy of a link to be the inlet occupancy of the next stage or ain+1=aon..An iterative process can be applied to obtain a more accurate value [5].

In broadband networks the bit rate offered by the links is variable and we consider it as multi-rate traffic. The output links of broadband networks carrying multi-rate traffic can be considered as limited availability systems and an algorithm for determining blocking probability of a limited availability group has been proposed in [3] for two different scenarios, where one has bandwidth reservation and the other without bandwidth reservation. The proposed analytical methods are subjected verification through comparing the results obtained with simulation results. The simulation is done through use of computer simulation techniques where calls are modeled and an arrival process made of pseudorandom numbers is generated from programming languages or specialized simulation application software. This method can be used to visualize different scenarios and make problem solving easier [1]. For the analysis to be done, an integer number of basic bandwidth unit (BBU) need to be determined. The BBU is the greatest common divisor of all the bandwidths of the multi-rate traffic offered.
Scenario of a limited availability group without bandwidth reservation
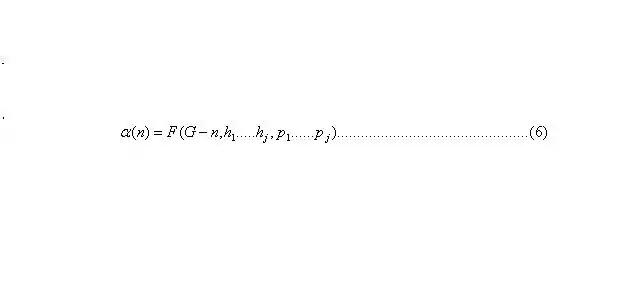
The links are considered of varying capacities. Let us assume that the system is composed of j types of links where each link is characterized by hj ¬being the number of links of type j and Pj being the capacity of links of type j, the capacity G of the group can be determined as:

Traffic of M independent classes with a Poissonian distribution is offered to the group. The traffic has streams with different intensities as . A class i call requires ti BBU’s to set up a connection. Let the holding time for any particular call have an exponential distribution with the parameters as: µ1, µ2, . . .,µM. For class i the mean offered traffic is equal to:

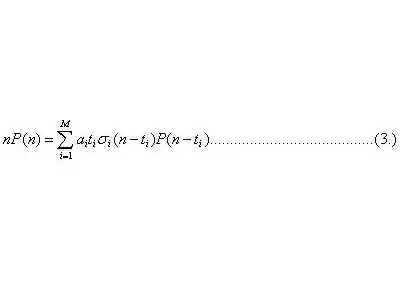
Distribution of the occupancy in system the can be determined by the generalized Kaufman-Roberts recursion relation as:

Where P (n) is a state probability representing the probability that a BBU is busy. σi (n) is the probability of admission of a call of class i when the system is in a state n. This probability is state dependent hence referred to as a conditional probability because it depends on the n factor. A generalization of the possible number of ways x of ways in which free BBU can arrange is shown by the following relation assuming a system with j types of links.

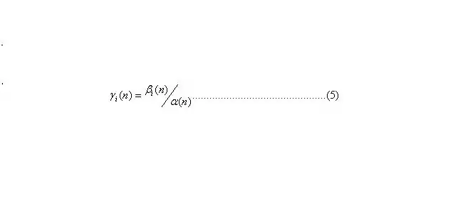
A conditional blocking probability for class i traffic stream in state n BBUs being busy can be determined using the equation (4 above) as:

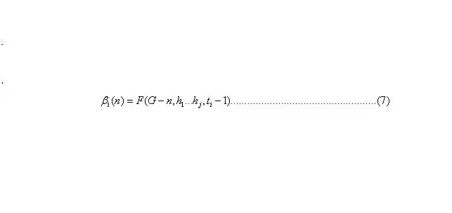
Where β i (n) denotes the number of events for which there are less BBUs to service calls for class i or when the system is in a state of blocking while α (n) denotes the total number of possible arrangements of n BBUs that are in a busy state.
To determine the possible number of ways of arranging n BBUs in a busy state in a limited availability system, we can determine the number of arrangements of of j link types of capacity ps.The problem of determination of the number of arrangements of n busy BBU’s in the limited availability system. From relation (4),

The number of events for which blocking occurs denoted earlier as βi(n) as the of arrangements of BBU’s that are free in links of j types, with each of their capacities as ti - 1 BBU’s can be determined as:

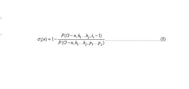
The probability of passing which is a conditional probability can be determined as:

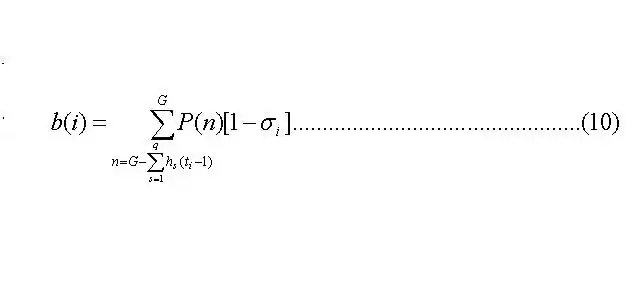
After determining the conditional passing probability (σi) we can determine the distribution of occupancy and the blocking probability for class i calls from the generalized Kaufman-Roberts relation in equation (3). The blocking probability states for the limited availability system can be determined by a condition below:

Applying the total probability theory the blocking probability in a limited availability group can be determined as:

For the case of a system with bandwidth reservation.
Three algorithms have been proposed in [3]. We shall limit our present discussion to one algorithm. In this scenario, a quantity Q called the reservation threshold is introduced. This refers to the boundary in which the capacity of the system service a call of a given class request is still possible. Any calls of a given class above this value are blocked and belong to the reservation space R designated as:
R=V-Q ……………………………………………………………… (11)
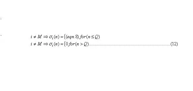
In this algorithm the threshold Q is defined for all classes of calls excluding those that require the highest number of BBUs to establish a connection or otherwise tm= tmax , that can be established when the system is operating in the region R(reservation space). The conditional passing probability from Kaufman-Roberts recursion can be defined as:

If i= M the passing probability can be obtained as:

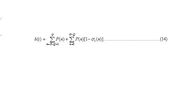
From equations (10) and (12), a derivation of the blocking probability can be made for as:

The challenge to find a value of Q for which all the blocking probability of all the classes of traffic stream is equalized can be solved through an iterative process where capacity of the group is taken as the initial value of Q ; the reservation threshold.
Conclusion
In the foregoing discussion, a description of a full availability system and a limited availability system has been made and the effects of the as a system on telecommunications service and the importance in defining the grade of service stated. The Erlang lost call calculation limitation to determine limited availability system parameters has prompted the derivation of a limited availability calculation which is largely the aim of this discussion. The derivations advanced are largely propositions extensively adapted from a systematic analysis presented in [3]. Justification of any numerical calculation is necessary. “This research has confirmed a great accuracy of the proposed model, which is comparable to the accuracy of the method worked out for the limited-availability groups without reservation. A lot of simulation experiments carried out by the author indicate that the accuracy also remains the same regardless of reservation algorithm, system capacity and the number of traffic classes. It confirms all the adopted theoretical assumptions accepted in the proposed method” [3].
Exercise
1. Define the following terms;
a. Full availability system
b. Limited availability system
c. Delay system or waiting system
2. State four assumptions for Erlang lost call calculation.
3. What method can you use to determine a value of a reservation threshold for which the blocking probability of multi-rate traffic streams is equalized?
4. What are the two important parameters for determination in a limited or full availability group and why are they important in telecommunications?
References
[1] Kennedy I., Lost Call Theory, Lecture Notes, ELEN5007: Teletraffic Engineering, School of Electrical and Information Engineering, University of the Witwatersrand, 2007.
[2] Akimaru H., Kawashima K., Teletraffic: Theory and Applications, Springer-Verlag London, 2nd Ed., 1999
[3] Glabowski Mariusz., Bandwidth reservation in the generalized model of the limited-availability group Institute of Electronics and Telecommunications Pozna´n University of Technology http://www.comp.brad.ac.uk/het-net/HET-NETs04/CameraPapers/P53.pdf , last accessed 26 feb 2007
[4] Farr R.E., Telecommunications Traffic, Tariffs and Costs: An Introduction For Managers, Peter Peregrinus, 1988
[5]Hanrahan Hu., Integrated Digital Communications, University of the Witwatersrand, Johannesburg, Edition 2005.
