In mathematics, a telescoping series is a series whose general term is of the form , i.e. the difference of two consecutive terms of a sequence .[1]

As a consequence the partial sums only consists of two terms of after cancellation.[2][3] The cancellation technique, with part of each term cancelling with part of the next term, is known as the method of differences.

For example, the series

(the series of reciprocals of pronic numbers) simplifies as

An early statement of the formula for the sum or partial sums of a telescoping series can be found in a 1644 work by Evangelista Torricelli, De dimensione parabolae.[4]

In general

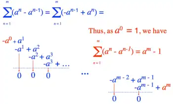
A telescoping series of powers. Note in the summation sign, , the index n goes from 1 to m. There is no relationship between n and m beyond the fact that both are natural numbers.

Telescoping sums are finite sums in which pairs of consecutive terms cancel each other, leaving only the initial and final terms.[5]

Let be a sequence of numbers. Then,

If

Telescoping products are finite products in which consecutive terms cancel denominator with numerator, leaving only the initial and final terms.

Let be a sequence of numbers. Then,

If

More examples

  • Many trigonometric functions also admit representation as a difference, which allows telescopic canceling between the consecutive terms.
  • Some sums of the form
    where f and g are polynomial functions whose quotient may be broken up into partial fractions, will fail to admit summation by this method. In particular, one has
    The problem is that the terms do not cancel.
  • Let k be a positive integer. Then
    where Hk is the kth harmonic number. All of the terms after 1/(k − 1) cancel.
  • Let k,m with k m be positive integers. Then

An application in probability theory

In probability theory, a Poisson process is a stochastic process of which the simplest case involves "occurrences" at random times, the waiting time until the next occurrence having a memoryless exponential distribution, and the number of "occurrences" in any time interval having a Poisson distribution whose expected value is proportional to the length of the time interval. Let Xt be the number of "occurrences" before time t, and let Tx be the waiting time until the xth "occurrence". We seek the probability density function of the random variable Tx. We use the probability mass function for the Poisson distribution, which tells us that

where λ is the average number of occurrences in any time interval of length 1. Observe that the event {Xt ≥ x} is the same as the event {Txt}, and thus they have the same probability. Intuitively, if something occurs at least times before time , we have to wait at most for the occurrence. The density function we seek is therefore

The sum telescopes, leaving

Similar concepts

Telescoping product

A telescoping product is a finite product (or the partial product of an infinite product) that can be cancelled by method of quotients to be eventually only a finite number of factors.[6][7]

For example, the infinite product[6]

simplifies as

Other applications

For other applications, see:

References

  1. Apostol, Tom (1967). Calculus, Volume 1 (Second ed.). John Wiley & Sons. p. 386.
  2. Tom M. Apostol, Calculus, Volume 1, Blaisdell Publishing Company, 1962, pages 4223
  3. Brian S. Thomson and Andrew M. Bruckner, Elementary Real Analysis, Second Edition, CreateSpace, 2008, page 85
  4. Weil, André (1989). "Prehistory of the zeta-function". In Aubert, Karl Egil; Bombieri, Enrico; Goldfeld, Dorian (eds.). Number Theory, Trace Formulas and Discrete Groups: Symposium in Honor of Atle Selberg, Oslo, Norway, July 14–21, 1987. Boston, Massachusetts: Academic Press. pp. 1–9. doi:10.1016/B978-0-12-067570-8.50009-3. MR 0993308.
  5. Weisstein, Eric W. "Telescoping Sum". MathWorld. Wolfram.
  6. 1 2 "Telescoping Series - Product". Brilliant Math & Science Wiki. Brilliant.org. Retrieved 9 February 2020.
  7. Bogomolny, Alexander. "Telescoping Sums, Series and Products". Cut the Knot. Retrieved 9 February 2020.
This article is issued from Wikipedia. The text is licensed under Creative Commons - Attribution - Sharealike. Additional terms may apply for the media files.